当前访问量:20812023年01月11日
J. Am. Chem. Soc. 144, 10220-10229 (2022)Ti...
Nucl. Instrum. Meth. A 1038, 166921 (2022)Q...
Angew. Chem. Int. Ed.133, 16221-16228 (2021...
Nat. Commun. 12, 6878 (2021)Kefu Zhu, Shiqi...
Nat. Catal. 2, 688 (2019)Yi Jia, Longzhou Z...
Angew. Chem. 133, 16221-16228 (2021)Yanan B...
J. Am. Chem. Soc. 142, 10849−10855 (2020)We...
J. Am. Chem. Soc. 142, 5901-5909 (2020)Bing...
NIMA, 960, 1633662 (2020)H. B. Wang, Q. H. ...
可用于单片微米级厚度薄膜表征的非束流正电子湮没寿命与符合多普勒展宽谱仪
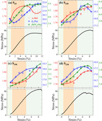
拉伸诱导半晶高分子片晶间无定形失稳过程中的自由体积演化
疏水离子液体工程逆转CO中间体吸附构型以实现安培级CO2电还原为多碳产物
Sn掺杂β-Ga2O3半导体的缺陷与导电性的正电子湮没谱学研究
中国科大将正电子湮没寿命谱仪计数率提高两个数量级
中国科大非束流正电子湮没寿命-动量关联(AMOC)谱仪计数率创最高纪录
中国科大首次实现单片微米级薄膜测量的非束流正电子湮没辐射多普勒展宽(DBAR)谱仪
中国科大首次观察到高分子连续拉伸过程中的自由体积孔洞演化规律
利用量子蒙特卡洛研究正负电子关联泛函实现正电子湮没寿命的精确计算
地址:安徽省合肥市金寨路96号中国科学技术大学东区物质楼C栋
邮编:230026 Email:pba@ustc.edu.cn
网站由本实验室制作及维护